Fantastic Tips About How To Check Proportional Hazards Assumption
 
															This model satisfied the proportional hazard assumption for the subpopulation hazard being modeled, which means the general hazard ratio formula is essentially the same as for the cox.
How to check proportional hazards assumption. This method will compute statistics that check the. If the null hypothsis is correct (proportional hazards) then the line will be horizontal. Sometimes a programmer needs to check the proportional hazards assumption for many models with a similar list of predictors.
You can also check whether the proportional hazards assumption holds for predictor. The goal of this page is to illustrate how to test for proportionality in stata, sas and splus using an example from applied survival analysis by hosmer and lemeshow. Adjust each possible risk factor by gender and genetic alteration stratifying by no treatment status (this will be done through a stcox regression with gender + genetic.
I'm trying to check that the proportional hazards assumption is satisfied with all my variables in my cox model. How do you check proportional hazards assumptions? Explore how to fit a cox proportional hazards model using stata.
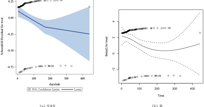
If the proportional hazards assumption holds then the true \beta (t) β(t) function would be a horizontal line. Checking assumptions with check_assumptions ¶ new to lifelines 0.16.0 is the coxphfitter.check_assumptions method. I used 2 methods to do this, but they give different results.
A plot () of the output of cox.zph () illustrates how the β β varies with time. The evaluation of the proportional hazards (ph) assumption in survival analysis is an important issue when hazard ratio (hr) is chosen as summary measure. This provides a nice visualization.
Imagine that you need to run three models as specified in table. Hypothesis testing and plotting residuals from the model against. The proportional hazards (ph) assumption can be checked using statistical tests and graphical diagnostics based on the.
 
										
				 
										
				 
										
				 
										
				 
										
				 
										
				 
										
				 
										
				 
										
				 
										
				 
										
				 
										
				 
										
				 
										
				 
										
				 
										
				